Mathieu Renzo, Christian D. Ott, Steven N. Shore, Selma E. de Mink
Accepted for publication in Astronomy and Astrophysics
Abstract
|
Mass loss processes are a key uncertainty in the evolution of massive stars. They determine the amount of mass and angular momentum retained by the star, thus influencing its evolution and presupernova structure. Because of the high complexity of the physical processes driving mass loss, stellar evolution calculations must employ parametric algorithms, and usually only include wind mass loss. We carried out an extensive parameter study of wind mass loss and its effects on massive star evolution using the open-source stellar evolution code MESA. We provide a systematic comparison of wind mass loss algorithms for solar-metallicity, nonrotating, single stars in the initial mass range of 15 M to 35M . We consider combinations drawn from two hot phase (i.e., roughly the main sequence) algorithms, three cool phase (i.e., post-main-sequence) algorithms, and two Wolf-Rayet mass loss algorithms. We discuss separately the effects of mass loss in each of these phases. In addition, we consider linear wind efficiency scale factors of 1, 0.33, and 0.1 to account for suggested reductions in mass loss rates due to wind inhomogeneities. We find that the initial to final mass mapping for each zero-age main-sequence (ZAMS) mass has a ∼ 50% uncertainty if all algorithm combinations and wind efficiencies are considered. The ad-hoc efficiency scale factor dominates this uncertainty. While the final total mass and internal structure of our models vary tremendously with mass loss treatment, final luminosity and effective temperature are much less sensitive for stars with ZAMS mass . 30 M . This indicates that uncertainty in wind mass loss does not negatively affect estimates of the ZAMS mass of most single-star supernova progenitors from pre-explosion observations. Our results furthermore show that the internal structure of presupernova stars is sensitive to variations in both main sequence and post main-sequence mass loss. The compactness parameter ξ ∝ M/R(M) has been identified as a proxy for the “explodability” of a given presupernova model. We find that ξ varies by as much as 30% for models of the same ZAMS mass evolved with different wind efficiencies and mass loss algorithm combinations. This suggests that the details of the mass loss treatment might bias the outcome of detailed core-collapse supernova calculations and the predictions for neutron star and black hole formation.
|
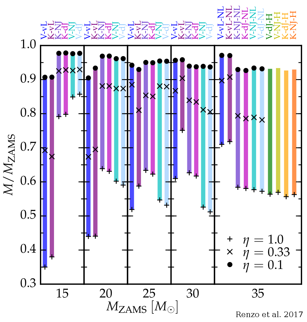
![]() |
| Caption: Uncertainty in the mapping between MZAMS and the relative final mass M/MZAMS due to wind mass loss. Each colored bar corresponds to a specific wind algorithm combination. The pluses, crosses, and circles correspond to η = 1.0, 0.33, 0.1, respectively. We employ the vertical bars to emphasize the spread. The uncertainty in wind mass loss limits the predictive power of stellar evolution studies for the final mass of stars of given initial mass. |
![]() |
| Caption: Spread in pre-SN appearance due to the uncertainty in wind mass loss. Each color represents an initial mass MZAMS, each marker corresponds to a different efficiency factors η. The vertical dot-dashed lines indicate the BSG-YSG boundary, and YSG-RSG boundary according to Georgy et al. (2016), respectively. 35 M models exhibit a larger spread, because some models (indicated by a thick black edge on their markers) develop into WR stars. |
MESA input files & customized routines
We employ revision 7624 of the open-source MESA stellar evolution code. MESA can be obtained from mesa.sourceforge.net.
We provide the input parameter files (inlists) and customized routines (run_star_extras.f) for all our models and all the steps of our computation. You might want to change the input model and output model and profile file names in the inlist_project files.
Evolution from ZAMS to core oxygen depletion
N.B. In inlist_project, change the input parameters initial_mass to the desired ZAMS mass, and xctrl(1), xctrl(2), xctrl(3) to the desired wind efficiency parameter η for the hot, cool, and WR wind mass loss, respectively. Each tarball is 32Kb.
Input Parameters and Code for each mass-loss algorithm combination (see Table 2 in the paper for details).
- V-dJ-NL: V-dJ-NL_to_O_depl.tar.gz
- V-NJ-NL: V-NJ-NL_to_O_depl.tar.gz
- V-vL-NL: V-vL-NL_to_O_depl.tar.gz
- V-dJ-H: V-dJ-H_to_O_depl.tar.gz
- V-NJ-H: V-NJ-H_to_O_depl.tar.gz
- V-vL-H: V-vL-H_to_O_depl.tar.gz
- K-dJ-NL: K-dJ-NL_to_O_depl.tar.gz
- K-NJ-NL: K-NJ-NL_to_O_depl.tar.gz
- K-vL-NL: K-vL-NL_to_O_depl.tar.gz
- K-dJ-H:K-dJ-H_to_O_depl.tar.gz
- K-NJ-H:K-NJ-H_to_O_depl.tar.gz
- K-vL-H:K-vL-H_to_O_depl.tar.gz
Re-mesh at core oxygen depletion
N.B. In inlist_project, change the input parameters saved_model_filename and save_model_filename to the desired input and output model name, respectively.
- input parameters for re-mesh: inlist_for_remesh.tar.gz
Evolution from oxygen depletion (after re-meshing) to the onset of core collapse
N.B. the run_star_extras.f for this phase does not change with the mass loss algorithm combination adopted. The tarball includes the customized nuclear reaction network:
- input parameters evolution to the onset of core collapse: inlist_to_cc.tar.gz
Tables in electronic format
N.B. These are also available from CDS
- ReadMe README.txt
- Table 3 and 4 tab3tab4.txt
- Table 5 tab5.txt
- Table 6 tab6.txt
- Table 7 tab7.txt
- Table 8 tab8.txt
MESA output models & profiles
|
We output stellar structure data files (MESA file extension .data) and model files (MESA file extension .mod) that can be used as starting points for any MESA release at the following checkpoints: terminal age main sequence (TAMS), end of the hot phase, beginning of the WR phase (for models evolving into WR stars), end of the cool phase, oxygen depletion (before and after re-meshing), and onset of core collapse. These output files are large and we provide them through zenodo.org: https://zenodo.org/record/292924#.WK0q2tWi6Wg |

